江汉艺术职业学院官网_2017年江汉艺术职业学院单独招生拟录取名单

艺术特长生  点击:   2018-09-22

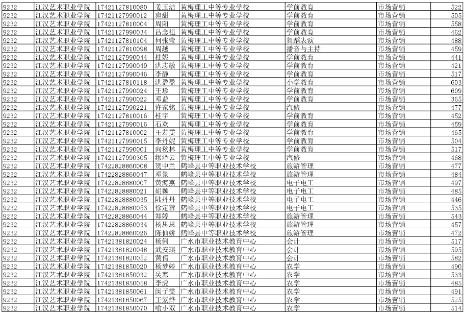
  报考2017年江汉艺术职业学院单独招生的同学们注意了,江汉艺术职业学院单独招生拟录取名单已经公布了,下面是高考jrs直播-手机版网小编整理的2017年江汉艺术职业学院单独招生拟录取名单。

江汉艺术职业学院单独招生拟录取名单

12017年江汉艺术职业学院单独招生拟录取名单

  以上就是高考jrs直播-手机版网小编整理的2017年江汉艺术职业学院单独招生拟录取名单,其信息来源于湖北招生信息网。

江汉艺术职业学院官网_2017年江汉艺术职业学院单独招生拟录取名单

http://m.dsms123.com/zs/101253/

相关文章
推荐内容
上一篇:[三亚学院艺术类录取分数线]三亚学院2016年各省录取分数线
下一篇:国内设计类专业大学排名_澳洲设计类大学排名专业排名
Copyright 高考学习网 版权所有 All Rights Reserved